Налоги оплачены, отчетность сдана точно в срок!
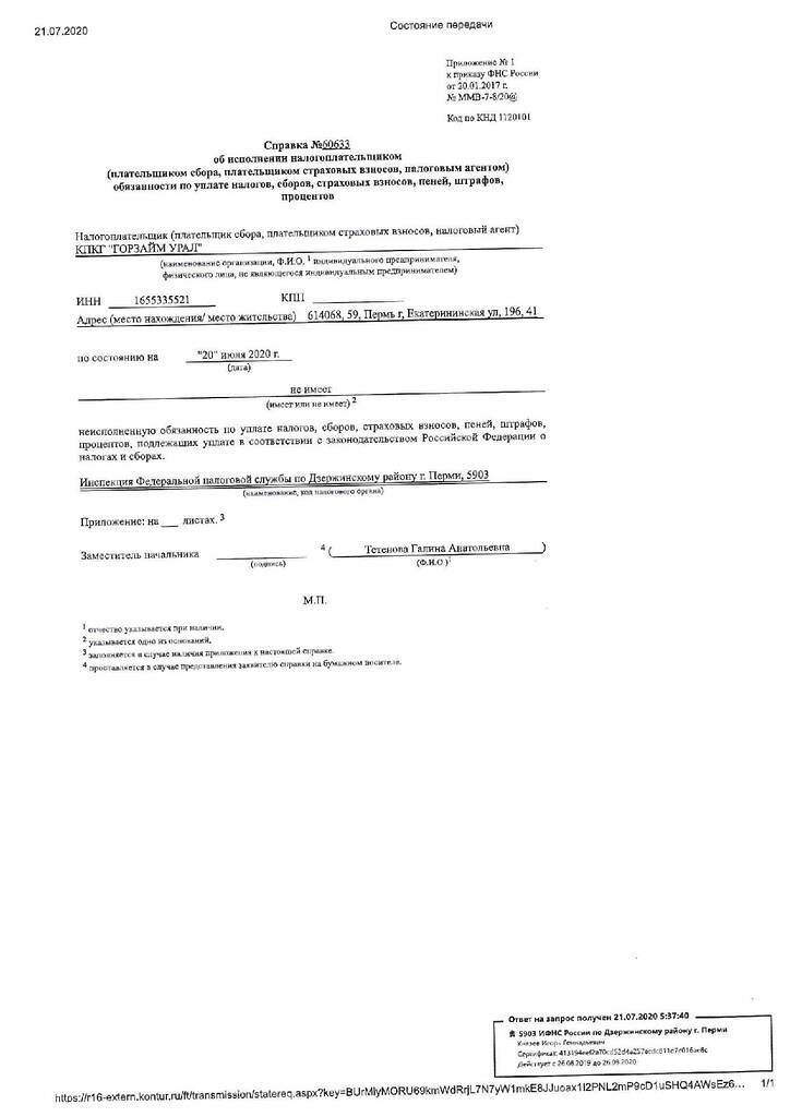
КПКГ «ГорЗайм Урал» за полугодие 2020 г., как налогоплательщик, выполнил все свои обязательства. Начисление налогов и взносов и их перечисление в государственные органы в течение полугодия 2020года производились своевременно и в полном объёме. КПКГ «ГорЗайм Урал» не имеет неисполненных обязательств по уплате налогов и сборов по состоянию на 20 июля 2020 г., в соответствии с законодательством Российской Федерации о налогах и сборах, что подтверждает справка №60633, выданная ИФНС по Дзержинскому району г. Перми.
Расчет сумм налога на доходы физических лиц, исчисленных и удержанных налоговым агентом по форме 6 НДФЛ сданы в ИФНС своевременно. Вместе с этим сдана и вся предусмотренная отчетность за полугодие 2020г. в Налоговую инспекцию, Пенсионный Фонд РФ, ФСС РФ, СРО «Губернское кредитное содружество», ЦБ РФ.
Финансовый результат по итогам полугодия 2020 года положительный, чистый доход по состоянию на 30.06.2020 года составил 2 754 263 рублей.
Доходы, полученные от осуществления деятельности по выдаче займов, а также средства целевого финансирования были направлены в отчетном периоде на покрытие расходов кооператива и распределялись по сметным назначениям в соответствии с установленными нормативами.




